CAS: 120287-85-6
Molecular Formula: C70H92ClN17O14
Formula Weight: 1431.04
CAS: 50-57-7
Molecular Formula: C46H65N13O12S2
Formula Weight: 1056.22
CAS: 170851-70-4
Molecular Formula: C38H49N9O5
Formula Weight: 711.85
CAS: 58-22-0
Molecular Formula: C19H28O2
Formula Weight: 288.424
CAS: N/A
Molecular Formula: C15H26N4O8
Formula Weight: 390.39
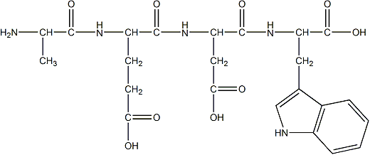
CAS: N/A
Molecular Formula: C26H36N6O9
Formula Weight: 576.61
CAS: 406-76-8
Molecular Formula: C7H15NO3
Formula Weight: 161.199
CAS: 45234-02-4
Molecular Formula: C11H21N3O5
Formula Weight: 275.3
CAS: 205640-90-0
Molecular Formula: C152H243N47O44S4
Formula Weight: 3561.1
CAS: N/A
Molecular Formula: C12H19N3O8
Formula Weight: 333.12