Welcome to Wuhan Owais pharmaceutical Technology Co.,Ltd
neiye

Products

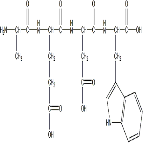
Pancragen

Product Description:

CAS: N/A


Molecular Formula: C26H36N6O9


Formula Weight: 576.61

Product Detail

Product Tags

Use and description

Pancragen is a dietary supplement with а synthesized pancreas peptide. It normalizes the function of the pancreas by reducing its peptide deficiency and restoring protein synthesis inside its cells.

Physical Characters and Index

Product: Pancragen

CAS:/

MF:C26H36N6O9

MW: 576.61

Molecular Structure:/

Appearance: white powder

Packing:10mg