Welcome to Wuhan Owais pharmaceutical Technology Co.,Ltd
neiye

Products

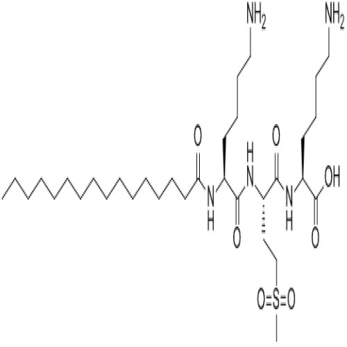
Palmitoyl Tripeptide 38

Product Description:

CAS: 1447824-23-8


Molecular Formula: C33H65N5O7S


Formula Weight: 675.96

Product Detail

Product Tags

Use and description

Palmitoyl Tripeptide-38, also known as Pal-KMO2K, is a matrikine-mimetic peptide that stimulates hyaluronic acid and collagen production. It was designed to provide an alternative to hyaluronic acid and collagen injections while supporting an anti-aging claim.

Physical Characters and Index

Name: Palmitoyl Tripeptide 38

CAS No. : 1447824-23-8

EINECS No. : 7824-223-8

Solubility: soluble in Glycol

Color: white powder